1
/
of
29
Landmark's Freedom Baptist Curriculum
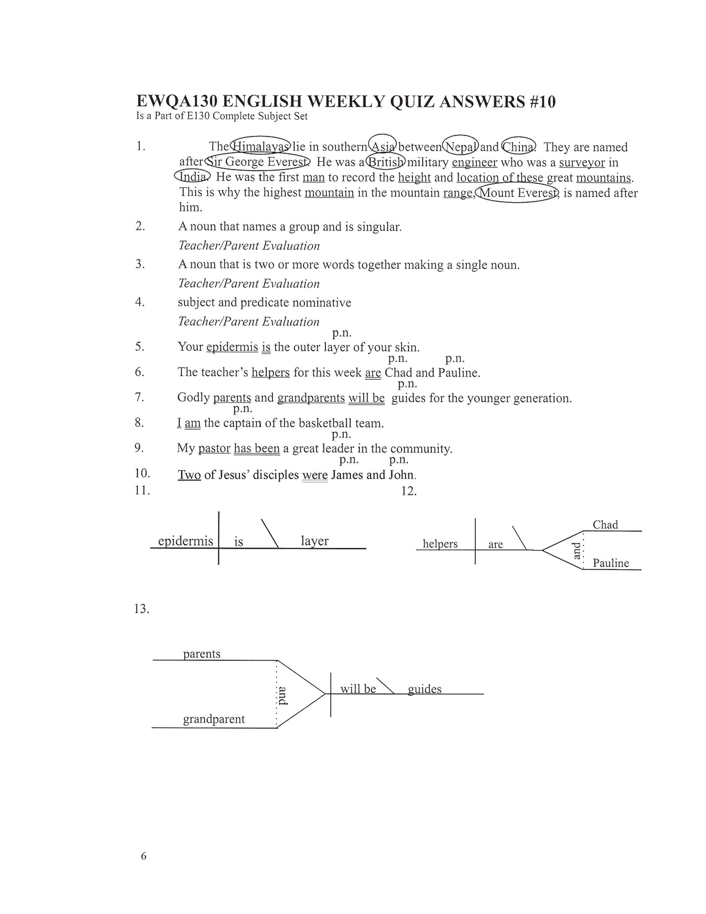
English Grade 06
English Grade 06
Regular price
$50.00 USD
Regular price
Sale price
$50.00 USD
Shipping calculated at checkout.
Quantity
Couldn't load pickup availability
Sentence structure, kinds of sentences, punctuation and capitalization rules, recognizing and diagraming all eight parts of speech, contractions, antonyms, homonyms, using troublesome words correctly, letter writing – friendly, business, thank-you notes, and writing compositions are all covered throughout the course of the year. Spelling 6 contains 36 weeks of spelling lists with activities and glossary. Each complete subject set includes everything you need for one student for one year. Because the set is complete, you are assured that Study Guides, Study Guide Answers, Test and Quizzes, and Test and Quiz Answers are included and are the latest edition available.
Share




























