1
/
of
33
Landmark's Freedom Baptist Curriculum
English Grade 12 - English Grammar and Composition IV
English Grade 12 - English Grammar and Composition IV
Regular price
$50.00 USD
Regular price
Sale price
$50.00 USD
Shipping calculated at checkout.
Quantity
Couldn't load pickup availability
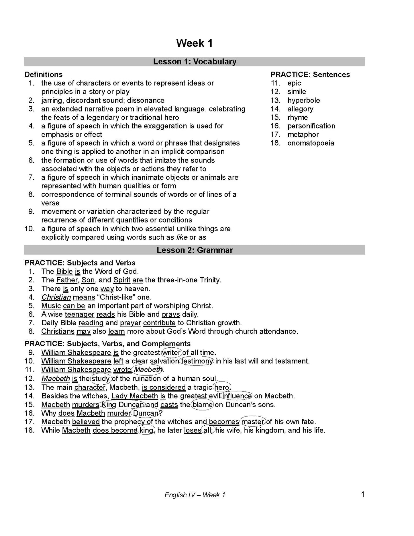
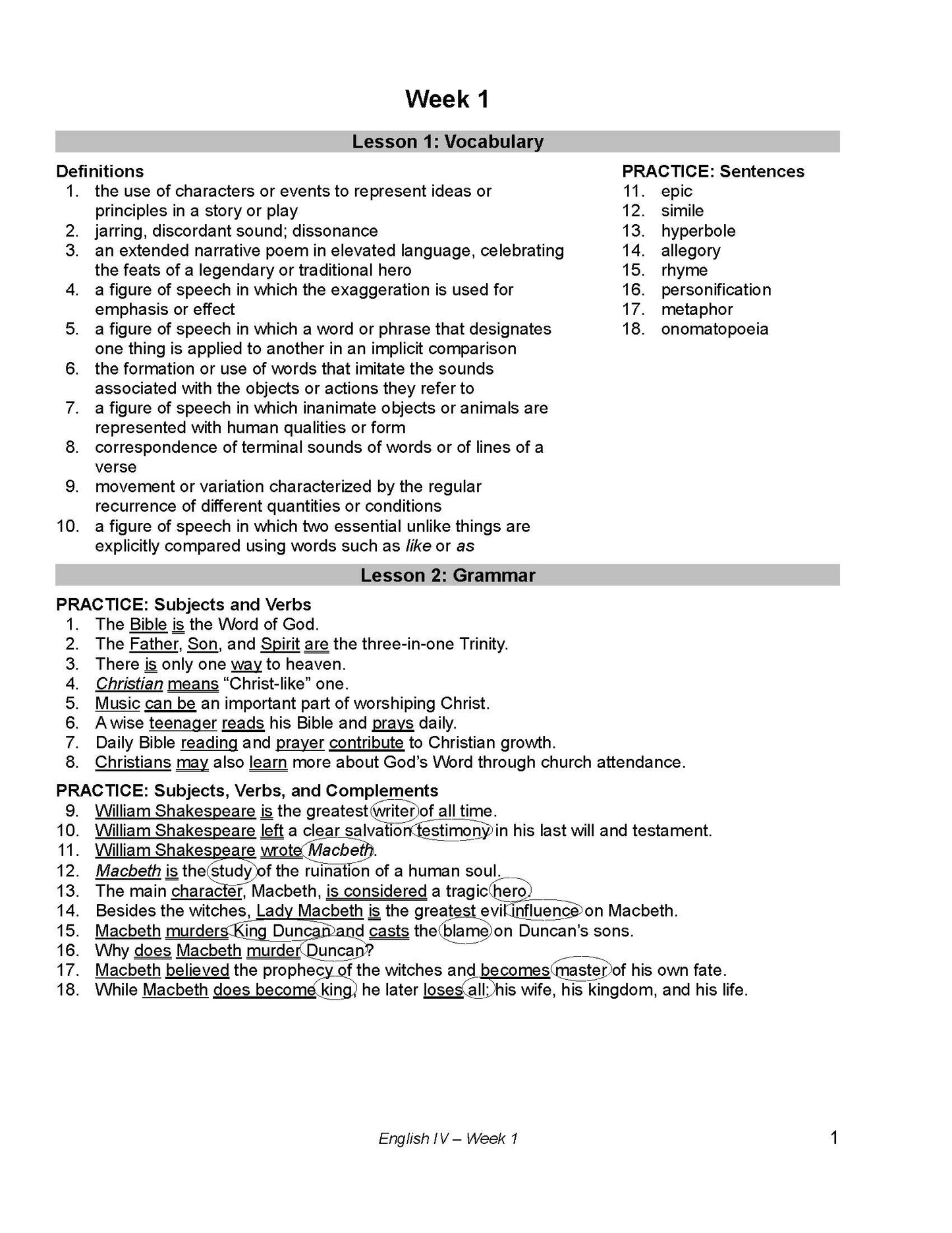
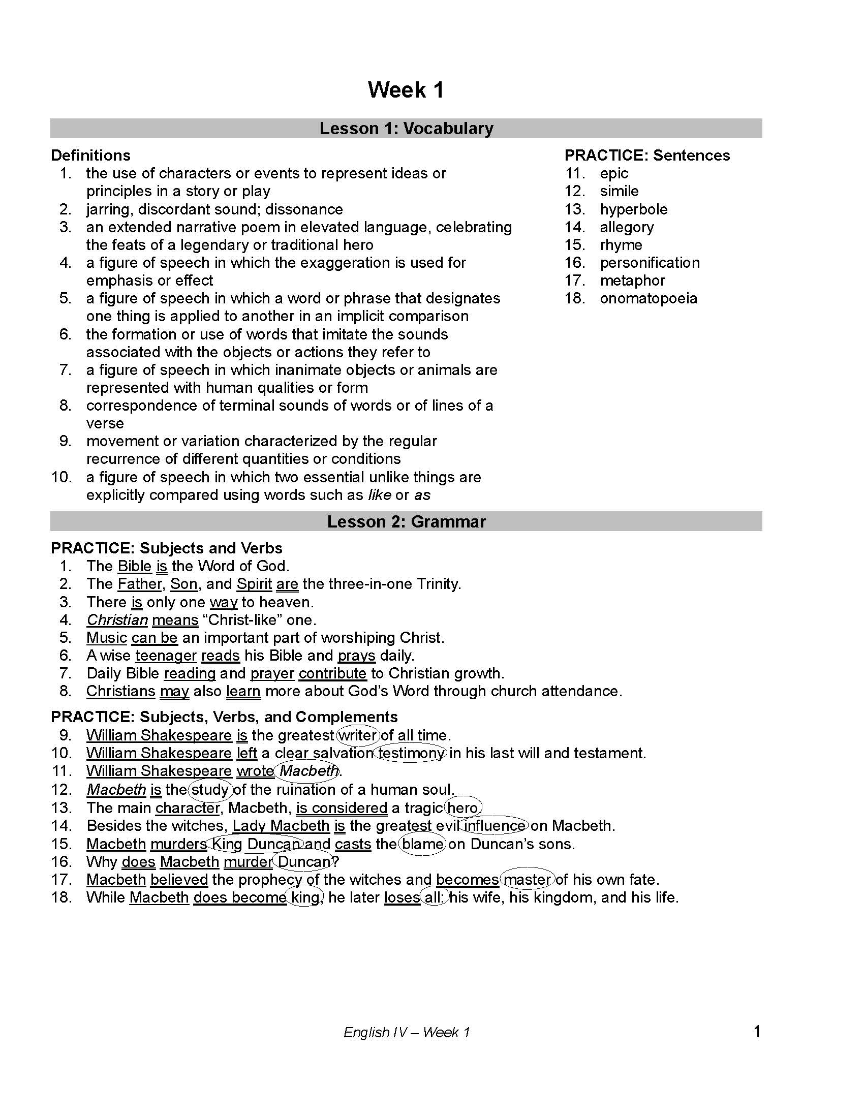
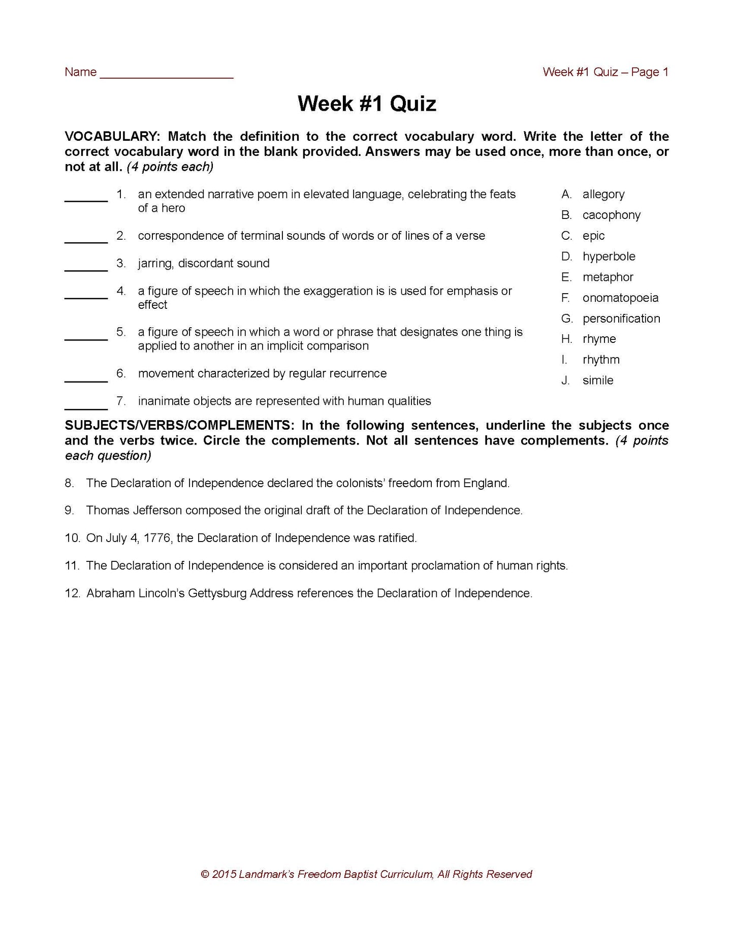
This course covers three areas. Grammar includes vocabulary improvement and a review of grammar rules and usage. Composition includes book reviews and a research paper. Literature includes reading and answering questions from a portion of The Pilgrim’s Progress, In His Steps, and Pride and Prejudice (books included in set). Each complete subject set includes everything you need for one student for one year. Because the set is complete, you are assured that Study Guides, Study Guide Answers, Test and Quizzes, and Test and Quiz Answers are included and are the latest edition available.
Share
































