1
/
of
30
Landmark's Freedom Baptist Curriculum
English Grade 11 - English Grammar and Composition III
English Grade 11 - English Grammar and Composition III
Regular price
$50.00 USD
Regular price
Sale price
$50.00 USD
Shipping calculated at checkout.
Quantity
Couldn't load pickup availability
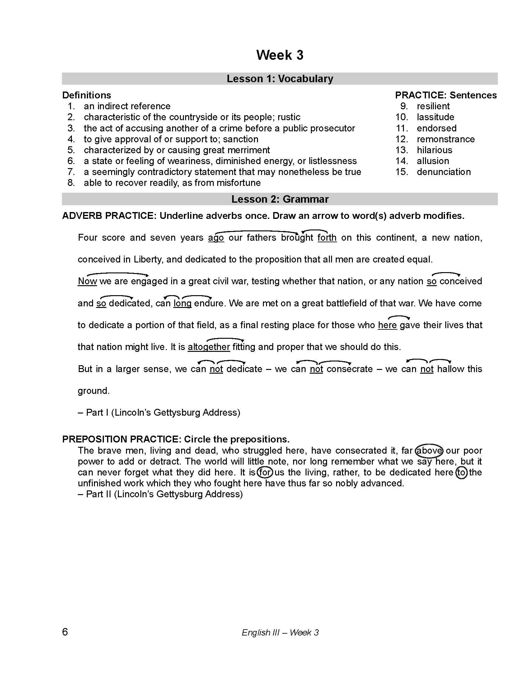
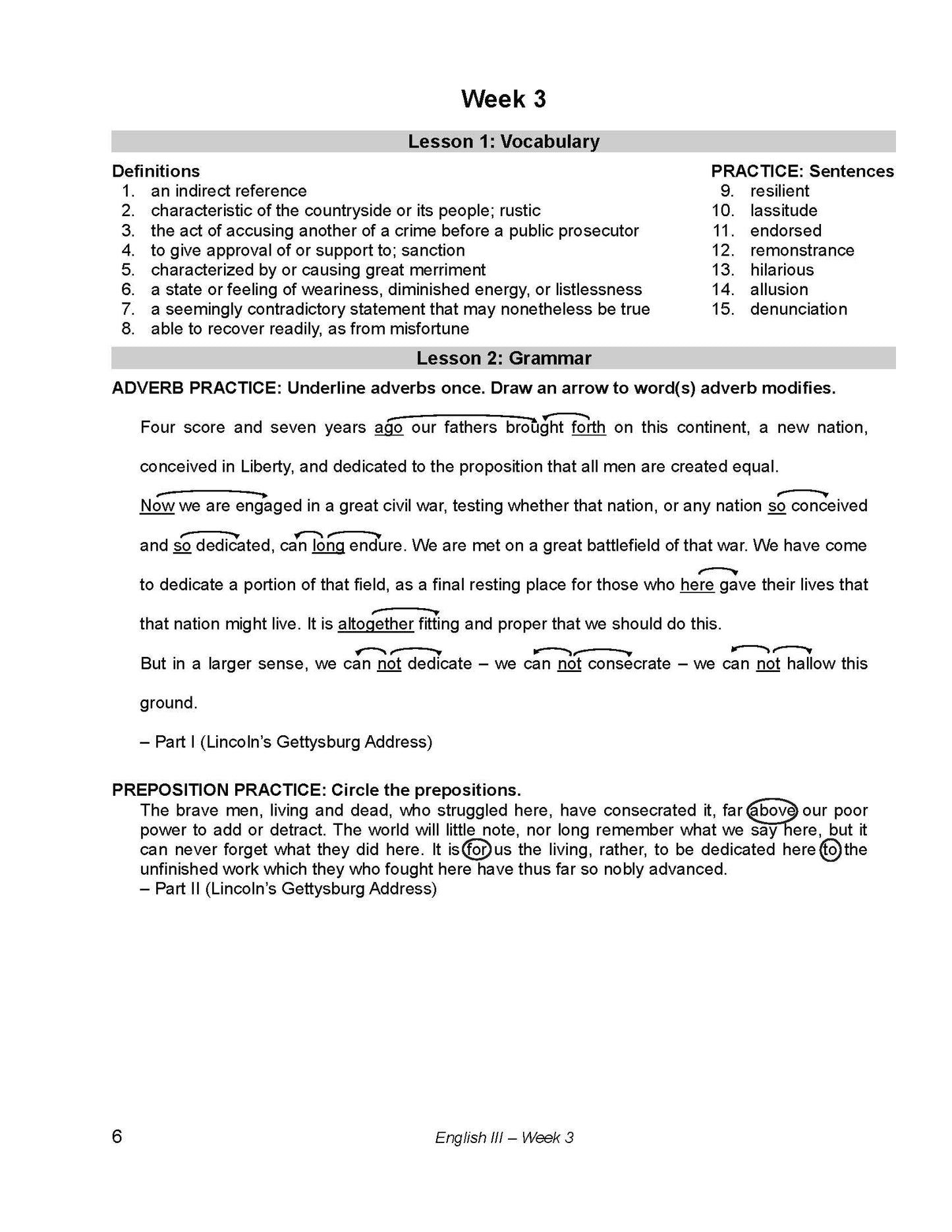
This course covers grammar, usage, writing, and literature. During the third quarter the student is taught the procedure for writing a formal term paper. Each week covers a specific step in the building process of putting together a high quality finished paper. Literature includes reading and answering questions from Robinson Crusoe and The Scarlet Letter (books included in set). Each complete subject set includes everything you need for one student for one year. Because the set is complete, you are assured that Study Guides, Study Guide Answers, Test and Quizzes, and Test and Quiz Answers are included and are the latest edition available.
Share





























